Официальное опубликование правовых актов
ОФИЦИАЛЬНОЕ ОПУБЛИКОВАНИЕ
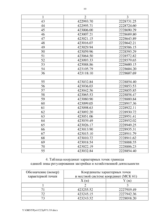
Постановление Правительства Ростовской области от 23.12.2019 № 971
"Об установлении объединенной зоны охраны объектов культурного наследия, расположенных в ст. Старочеркасской Ростовской области, и утверждении требований к градостроительным регламентам в границах территорий данной зоны"
Номер опубликования: 6100201912250023
Дата опубликования: 25.12.2019
Страница №10 из 20:
Увеличить