Официальное опубликование правовых актов
ОФИЦИАЛЬНОЕ ОПУБЛИКОВАНИЕ
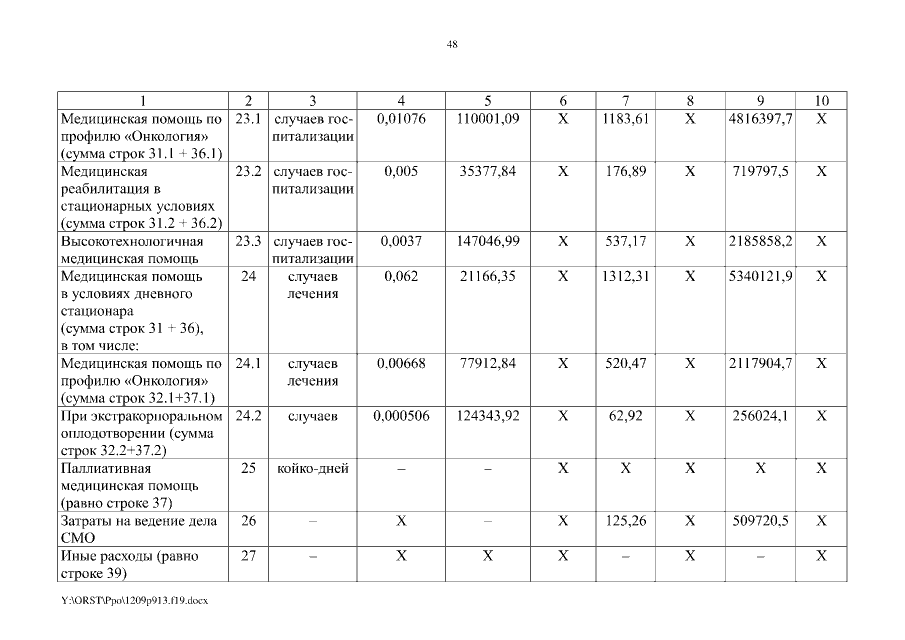
Постановление Правительства Ростовской области от 09.12.2019 № 913
"О внесении изменений в постановление Правительства Ростовской области от 29.12.2018 № 884"
Номер опубликования: 6100201912110014
Дата опубликования: 11.12.2019
Страница №48 из 92:
Увеличить