Официальное опубликование правовых актов
ОФИЦИАЛЬНОЕ ОПУБЛИКОВАНИЕ
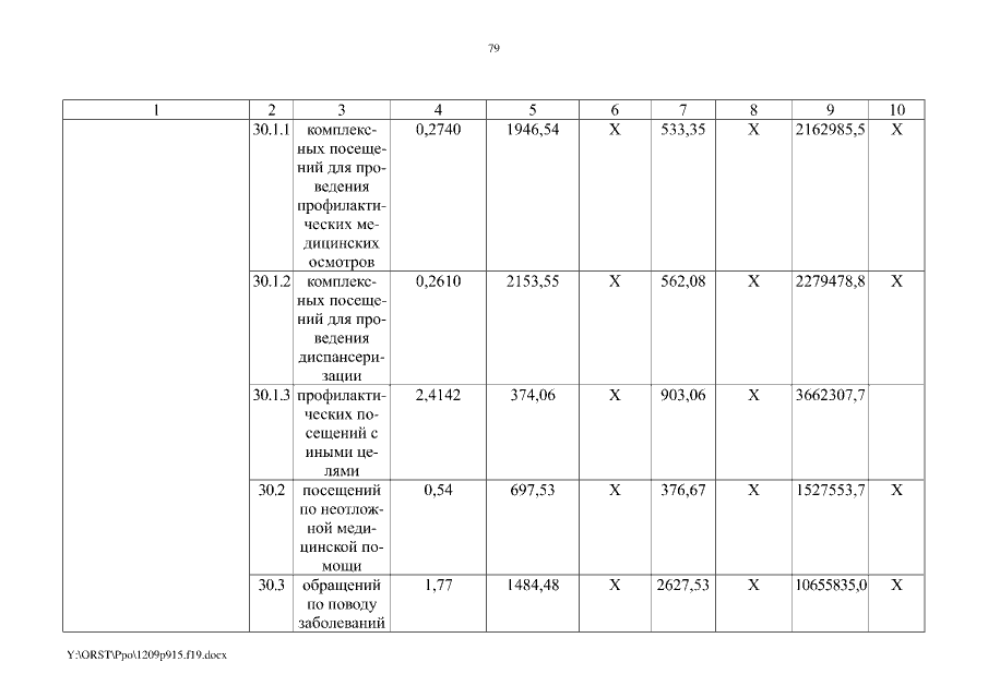
Постановление Правительства Ростовской области от 09.12.2019 № 915
"О Территориальной программе государственных гарантий бесплатного оказания гражданам медицинской помощи в Ростовской области на 2020 год и на плановый период 2021 и 2022 годов"
Номер опубликования: 6100201912110012
Дата опубликования: 11.12.2019
Страница №79 из 243:
Увеличить