Официальное опубликование правовых актов
ОФИЦИАЛЬНОЕ ОПУБЛИКОВАНИЕ
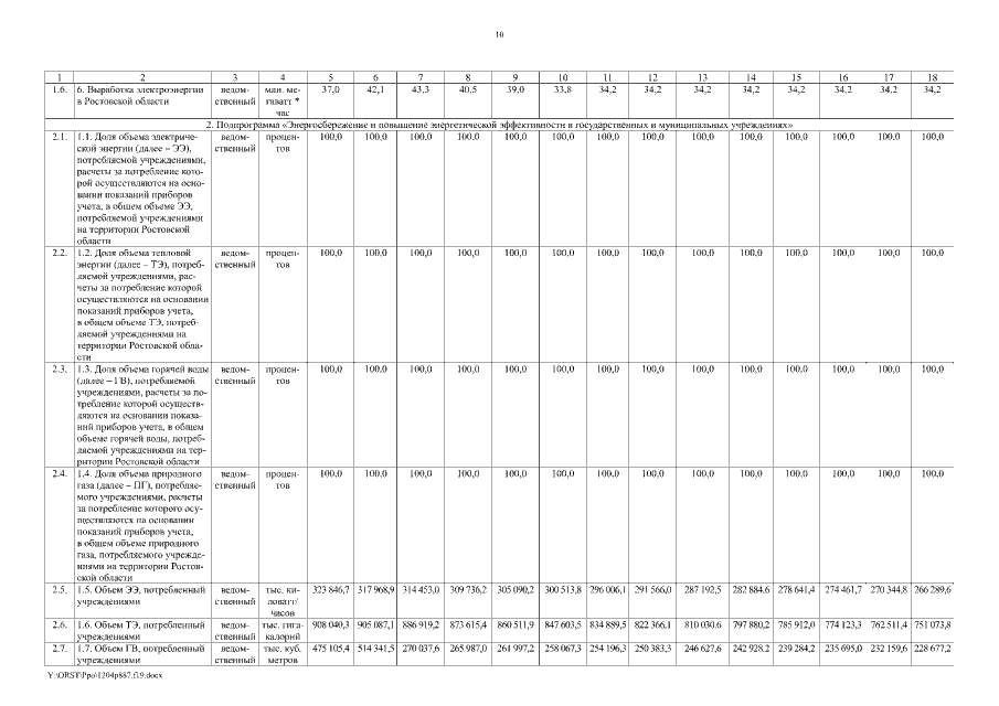
Постановление Правительства Ростовской области от 04.12.2019 № 887
"О внесении изменений в постановление Правительства Ростовской области от 29.11.2018 № 760"
Номер опубликования: 6100201912060016
Дата опубликования: 06.12.2019
Страница №10 из 28:
Увеличить