Официальное опубликование правовых актов
ОФИЦИАЛЬНОЕ ОПУБЛИКОВАНИЕ
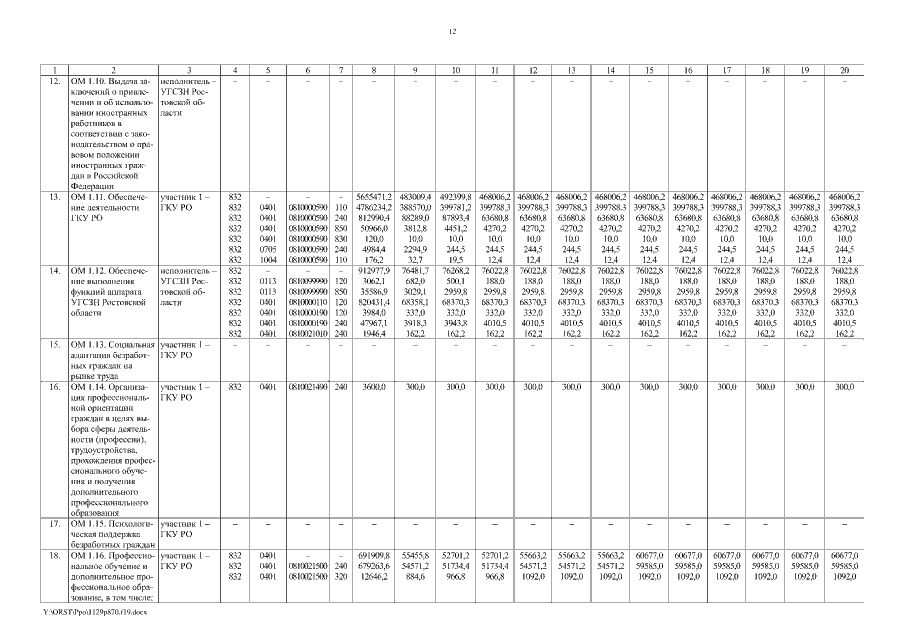
Постановление Правительства Ростовской области от 29.11.2019 № 870
"О внесении изменений в постановление Правительства Ростовской области от 17.10.2018 № 644"
Номер опубликования: 6100201912030025
Дата опубликования: 03.12.2019
Страница №12 из 19:
Увеличить