Официальное опубликование правовых актов
ОФИЦИАЛЬНОЕ ОПУБЛИКОВАНИЕ
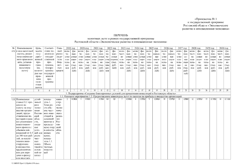
Постановление Правительства Ростовской области от 29.11.2019 № 866
"О внесении изменений в постановление Правительства Ростовской области от 15.10.2018 № 637"
Номер опубликования: 6100201912030004
Дата опубликования: 03.12.2019
Страница №8 из 82:
Увеличить