Официальное опубликование правовых актов
ОФИЦИАЛЬНОЕ ОПУБЛИКОВАНИЕ
Постановление Правительства Ростовской области от 22.11.2019 № 835
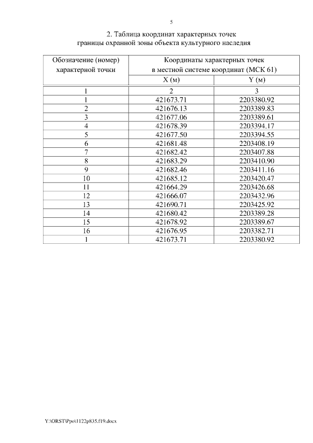
"Об установлении зон охраны объекта культурного наследия регионального значения "Административное здание конторы "Заготзерно", 1949 г.‚ арх. В.В. Леонтьев" и утверждении требований к градостроительным регламентам в границах территорий данных зон"
Номер опубликования: 6100201911260003
Дата опубликования: 26.11.2019
Страница №5 из 9:
Увеличить