Официальное опубликование правовых актов
ОФИЦИАЛЬНОЕ ОПУБЛИКОВАНИЕ
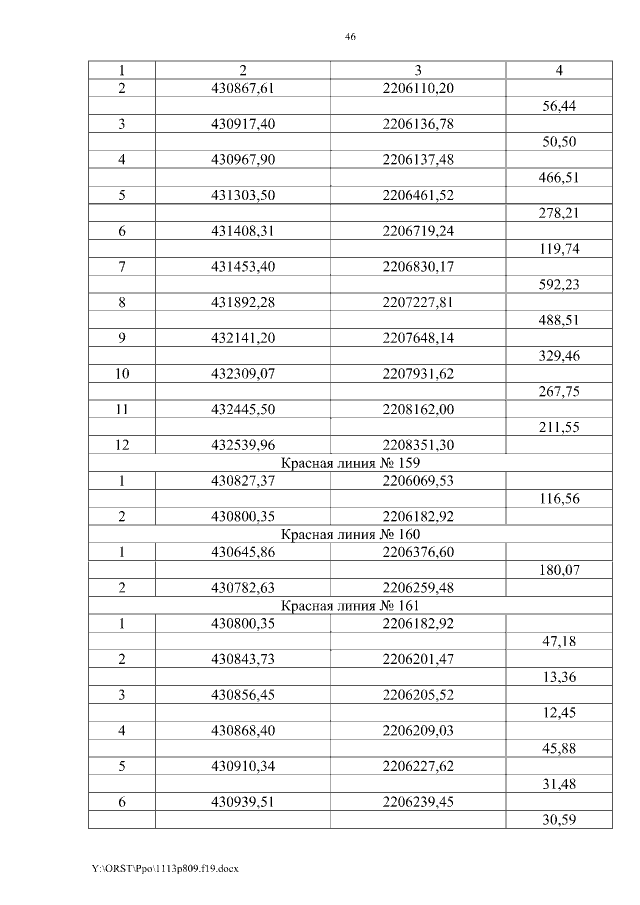
Постановление Правительства Ростовской области от 13.11.2019 № 809
"Об утверждении проекта планировки прибрежных территорий р. Темерник, расположенных в г. Ростове-на-Дону, Мясниковском и Аксайском районах (от истока р. Темерник, расположенного в п. Ковалевка Аксайского района, до впадения в р. Темерник г. Ростова-на-Дону) (2 этап)"
Номер опубликования: 6100201911150001
Дата опубликования: 15.11.2019
Страница №46 из 273:
Увеличить