Официальное опубликование правовых актов
ОФИЦИАЛЬНОЕ ОПУБЛИКОВАНИЕ
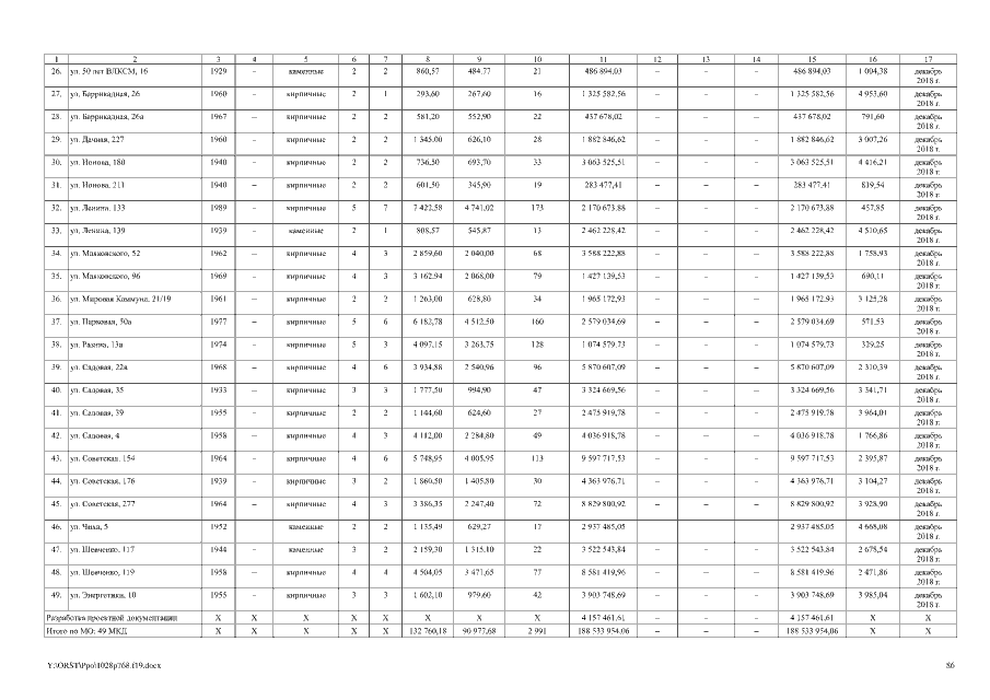
Постановление Правительства Ростовской области от 28.10.2019 № 768
"О внесении изменений в постановление Правительства Ростовской области от 29.12.2016 № 912"
Номер опубликования: 6100201910290029
Дата опубликования: 29.10.2019
Страница №86 из 204:
Увеличить