Официальное опубликование правовых актов
ОФИЦИАЛЬНОЕ ОПУБЛИКОВАНИЕ
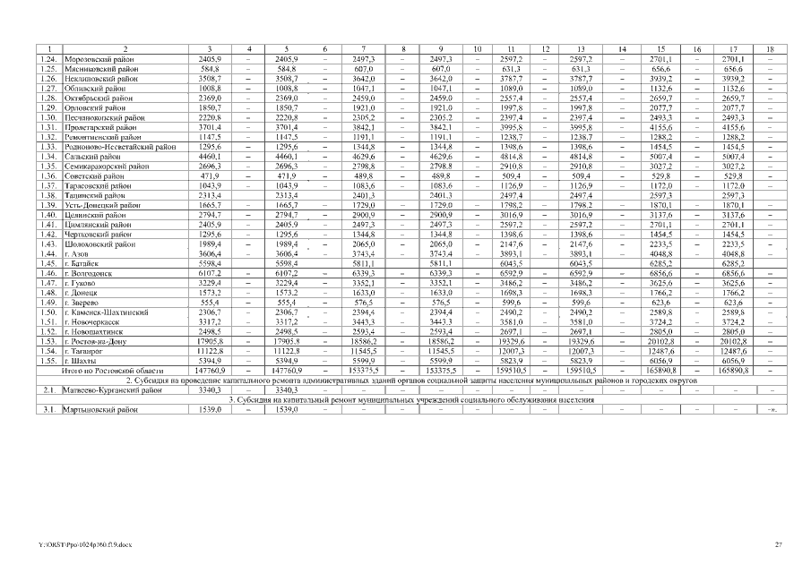
Постановление Правительства Ростовской области от 24.10.2019 № 760
"О внесении изменений в постановление Правительства Ростовской области от 17.10.2018 № 643"
Номер опубликования: 6100201910290020
Дата опубликования: 29.10.2019
Страница №27 из 31:
Увеличить