Официальное опубликование правовых актов
ОФИЦИАЛЬНОЕ ОПУБЛИКОВАНИЕ
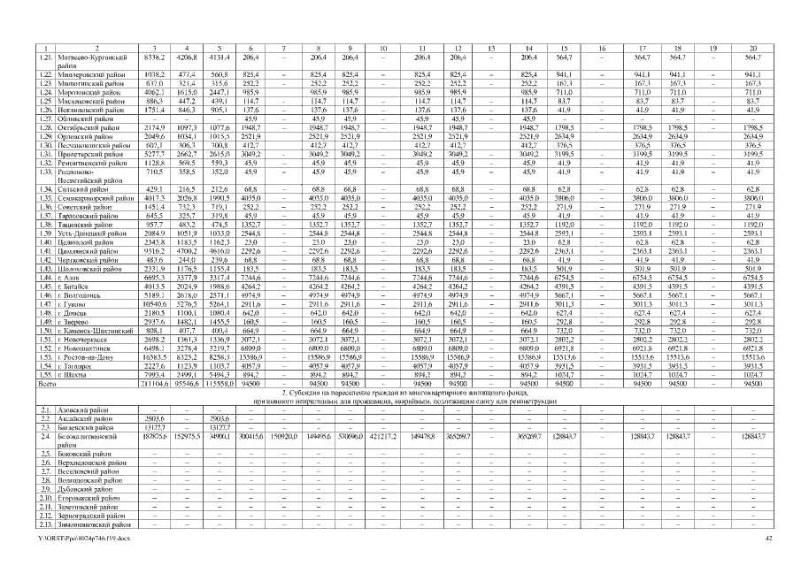
Постановление Правительства Ростовской области от 24.10.2019 № 746
"О внесении изменений в постановление Правительства Ростовской области от 17.10.2018 № 642"
Номер опубликования: 6100201910290008
Дата опубликования: 29.10.2019
Страница №42 из 49:
Увеличить