Официальное опубликование правовых актов
ОФИЦИАЛЬНОЕ ОПУБЛИКОВАНИЕ
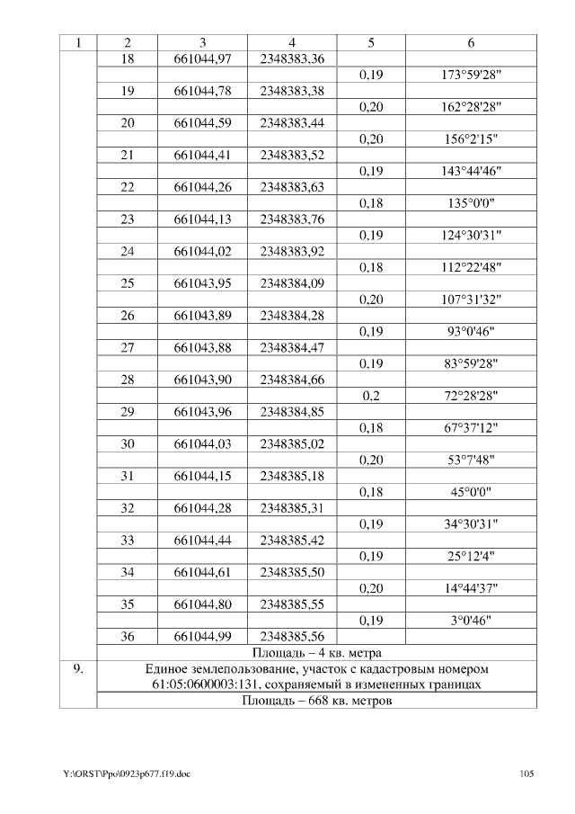
Постановление Правительства Ростовской области от 23.09.2019 № 677
"Об утверждении проекта планировки и проекта межевания территории размещения линейного объекта "Реконструкция автомобильной дороги общего пользования регионального значения г. Миллерово – ст. Вешенская на участке км 112 + 000 – км 120 +700 в Боковском районе"
Номер опубликования: 6100201909240015
Дата опубликования: 24.09.2019
Страница №105 из 124:
Увеличить