Официальное опубликование правовых актов
ОФИЦИАЛЬНОЕ ОПУБЛИКОВАНИЕ
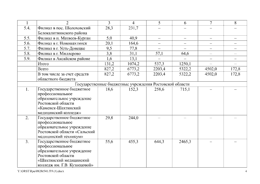
Распоряжение Правительства Ростовской области от 28.08.2019 № 541
"О прогнозных объемах финансирования и лимитах потребления топливно-энергетических ресурсов на 2020 год и плановый период 2021 и 2022 годов"
Номер опубликования: 6100201908300021
Дата опубликования: 30.08.2019
Страница №4 из 703:
Увеличить