Официальное опубликование правовых актов
ОФИЦИАЛЬНОЕ ОПУБЛИКОВАНИЕ
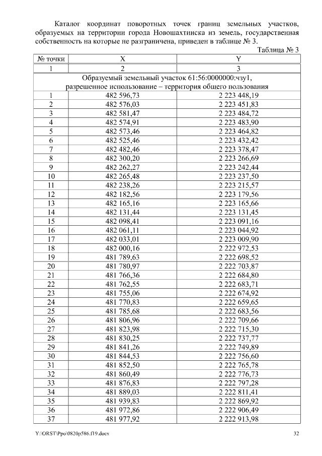
Постановление Правительства Ростовской области от 20.08.2019 № 586
"Об утверждении проекта планировки и проекта межевания территории размещения линейного объекта "Реконструкция автомобильной дороги общего пользования местного значения соединительная "г. Новошахтинск – х. Новопавловка – х. Калиновка"
Номер опубликования: 6100201908230002
Дата опубликования: 23.08.2019
Страница №32 из 38:
Увеличить