Официальное опубликование правовых актов
ОФИЦИАЛЬНОЕ ОПУБЛИКОВАНИЕ
Постановление Правительства Ростовской области от 01.08.2019 № 538
"Об утверждении проекта планировки и проекта межевания территории размещения линейных объектов: "Газопровод отвод и ГРС Гусев Каменского района Ростовской области" и "Межпоселковый газопровод от ГРС Гусев к х. Гусев, х. Самбуров Каменского района Ростовской области"
Номер опубликования: 6100201908060010
Дата опубликования: 06.08.2019
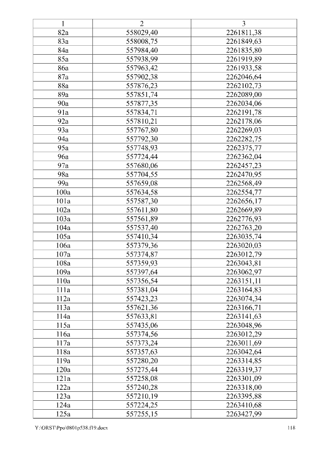
Страница №118 из 162:
Увеличить