Официальное опубликование правовых актов
ОФИЦИАЛЬНОЕ ОПУБЛИКОВАНИЕ
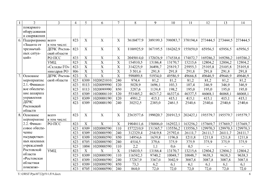
Постановление Правительства Ростовской области от 22.07.2019 № 511
"О внесении изменения в постановление Правительства Ростовской области от 17.10.2018 № 647"
Номер опубликования: 6100201907240008
Дата опубликования: 24.07.2019
Страница №6 из 26:
Увеличить