Официальное опубликование правовых актов
ОФИЦИАЛЬНОЕ ОПУБЛИКОВАНИЕ
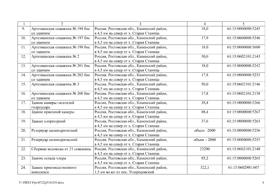
Постановление Правительства Ростовской области от 22.07.2019 № 514
"О приобретении недвижимого имущества в государственную собственность Ростовской области"
Номер опубликования: 6100201907240004
Дата опубликования: 24.07.2019
Страница №4 из 29:
Увеличить