Официальное опубликование правовых актов
ОФИЦИАЛЬНОЕ ОПУБЛИКОВАНИЕ
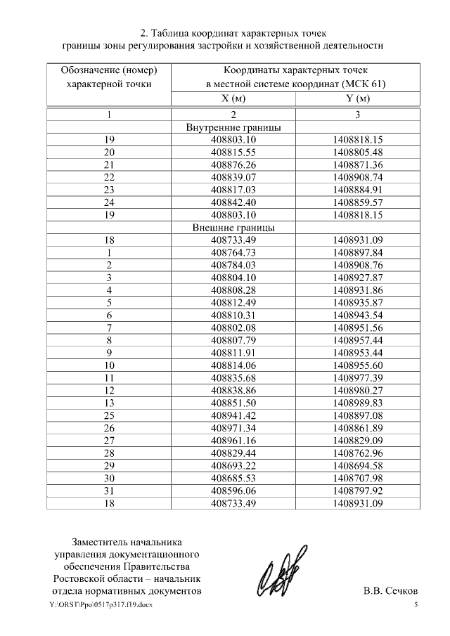
Постановление Правительства Ростовской области от 17.05.2019 № 317
"Об установлении зон охраны объекта культурного наследия регионального значения "Ансамбль зданий городской больницы: 1-е здание больничного корпуса; 2-е здание больничного корпуса; дом врача; часовня" и утверждении требований к градостроительным регламентам в границах территорий данных зон"
Номер опубликования: 6100201905210007
Дата опубликования: 21.05.2019
Страница №5 из 7:
Увеличить