Официальное опубликование правовых актов
ОФИЦИАЛЬНОЕ ОПУБЛИКОВАНИЕ
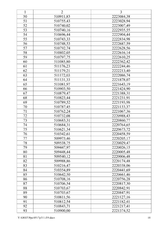
Постановление Правительства Ростовской области от 17.05.2019 № 311
"Об утверждении проекта изменений в проект планировки и проект межевания территории размещения линейного объекта "Строительство канализационных сетей в юго-восточной части г. Гуково"
Номер опубликования: 6100201905210005
Дата опубликования: 21.05.2019
Страница №18 из 89:
Увеличить