Официальное опубликование правовых актов
ОФИЦИАЛЬНОЕ ОПУБЛИКОВАНИЕ
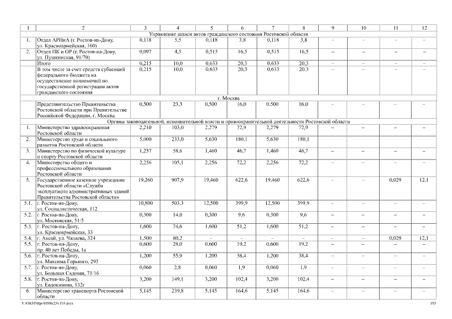
Распоряжение Правительства Ростовской области от 08.05.2019 № 254
"О внесении изменений в распоряжение Правительства Ростовской области от 09.11.2018 № 653"
Номер опубликования: 6100201905140019
Дата опубликования: 14.05.2019
Страница №183 из 224:
Увеличить