Официальное опубликование правовых актов
ОФИЦИАЛЬНОЕ ОПУБЛИКОВАНИЕ
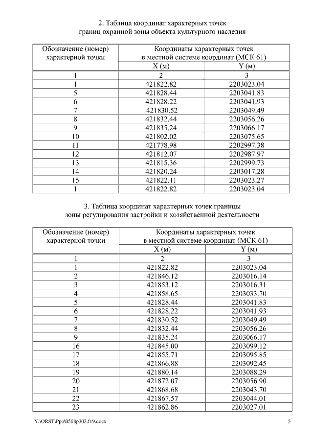
Постановление Правительства Ростовской области от 08.05.2019 № 303
"Об установлении зон охраны объекта культурного наследия регионального значения "Доходный дом М.Б. Геронимус, 1910-е гг." и утверждении требований к градостроительным регламентам в границах территорий данных зон"
Номер опубликования: 6100201905140016
Дата опубликования: 14.05.2019
Страница №5 из 9:
Увеличить