Официальное опубликование правовых актов
ОФИЦИАЛЬНОЕ ОПУБЛИКОВАНИЕ
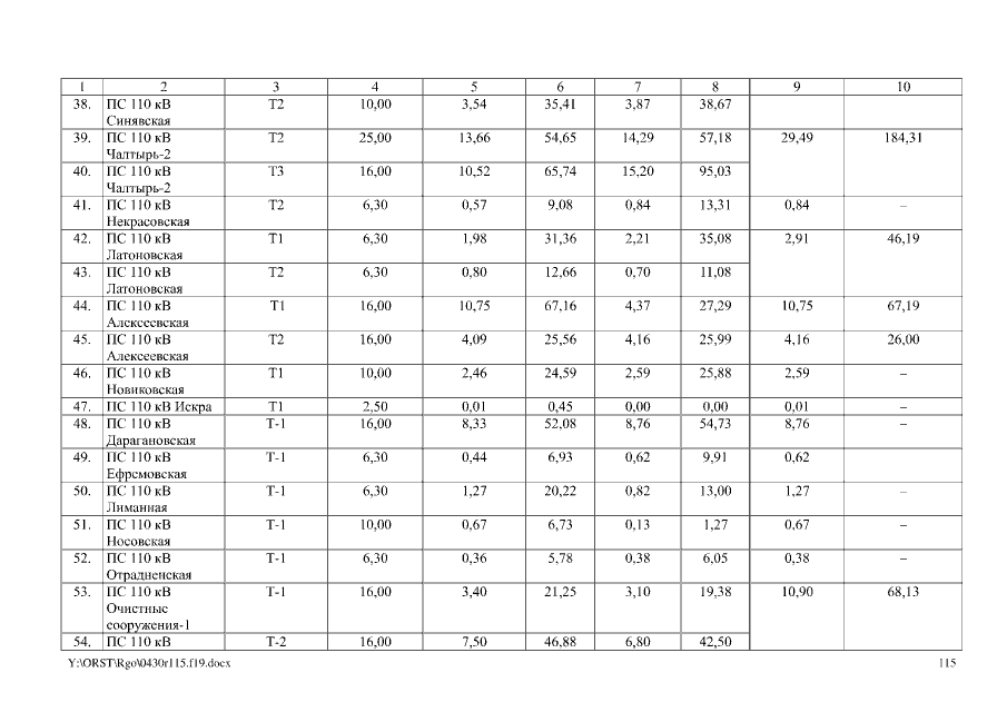
Распоряжение Губернатора Ростовской области от 30.04.2019 № 115
"Об утверждении схемы и программы перспективного развития электроэнергетики Ростовской области на 2019 – 2023 годы"
Номер опубликования: 6100201905070003
Дата опубликования: 07.05.2019
Страница №115 из 152:
Увеличить