Официальное опубликование правовых актов
ОФИЦИАЛЬНОЕ ОПУБЛИКОВАНИЕ
Постановление Правительства Ростовской области от 01.04.2019 № 233
"О внесении изменений в постановление Правительства Ростовской области от 12.08.2016 № 569"
Номер опубликования: 6100201904020003
Дата опубликования: 02.04.2019
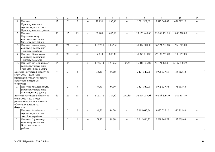
Страница №31 из 78:
Увеличить