Официальное опубликование правовых актов
ОФИЦИАЛЬНОЕ ОПУБЛИКОВАНИЕ
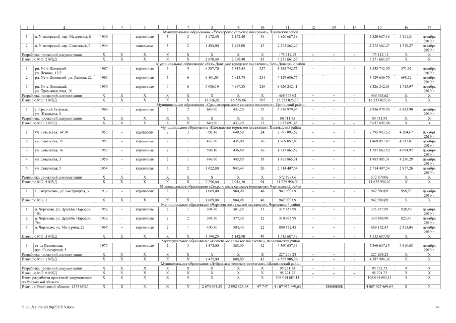
Постановление Правительства Ростовской области от 28.03.2019 № 230
"О внесении изменений в постановление Правительства Ростовской области от 29.12.2016 № 912"
Номер опубликования: 6100201904010021
Дата опубликования: 01.04.2019
Страница №47 из 92:
Увеличить