Официальное опубликование правовых актов
ОФИЦИАЛЬНОЕ ОПУБЛИКОВАНИЕ
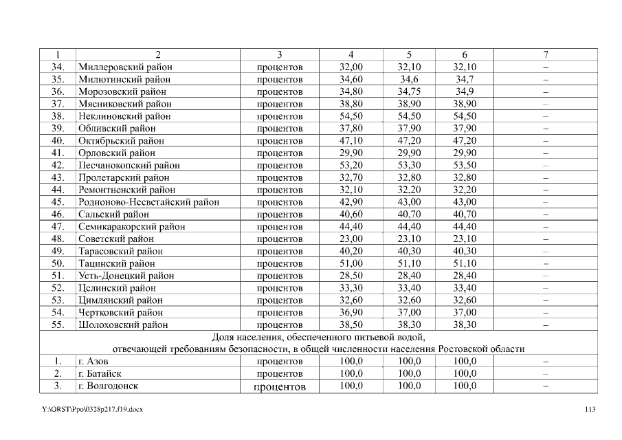
Постановление Правительства Ростовской области от 28.03.2019 № 217
"Об утверждении отчета о реализации государственной программы Ростовской области "Обеспечение качественными жилищно-коммунальными услугами населения Ростовской области" за 2018 год"
Номер опубликования: 6100201904010020
Дата опубликования: 01.04.2019
Страница №113 из 126:
Увеличить