Официальное опубликование правовых актов
ОФИЦИАЛЬНОЕ ОПУБЛИКОВАНИЕ
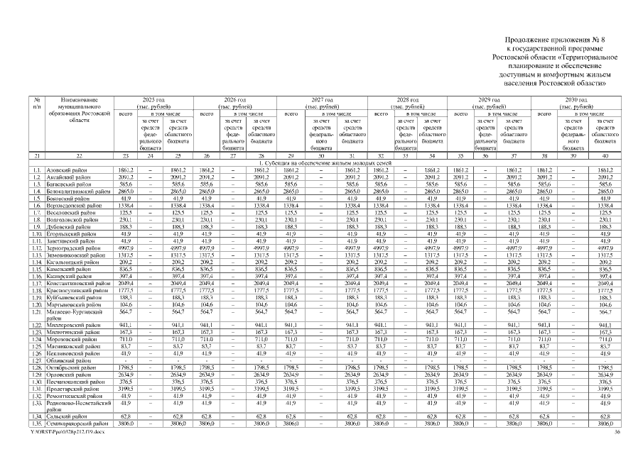
Постановление Правительства Ростовской области от 28.03.2019 № 212
"О внесении изменений в постановление Правительства Ростовской области от 17.10.2018 № 642"
Номер опубликования: 6100201904010013
Дата опубликования: 01.04.2019
Страница №36 из 42:
Увеличить