Официальное опубликование правовых актов
ОФИЦИАЛЬНОЕ ОПУБЛИКОВАНИЕ
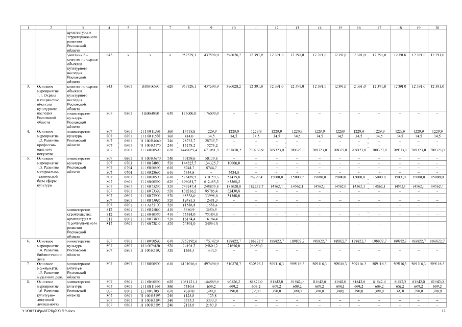
Постановление Правительства Ростовской области от 28.03.2019 № 200
"О внесении изменений в постановление Правительства Ростовской области от 17.10.2018 № 653"
Номер опубликования: 6100201903290009
Дата опубликования: 29.03.2019
Страница №12 из 50:
Увеличить