Официальное опубликование правовых актов
ОФИЦИАЛЬНОЕ ОПУБЛИКОВАНИЕ
Постановление Правительства Ростовской области от 28.03.2019 № 206
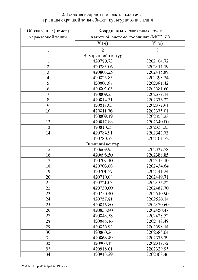
"Об установлении зон охраны объекта культурного наследия регионального значения "Мемориальный комплекс на месте многолюдных митингов во время ноябрьской стачки 1902 года: горельеф, 1967 г., ск. Э.Г. Мирзоев, арх. Я.С. Занис, А.Г. Яконин; скульптурная композиция "Преемственность поколений", ск. А.А. Скнарин, арх. П.А. Ибалаков" и утверждении требований к градостроительным регламентам в границах территорий данных зон"
Номер опубликования: 6100201903290003
Дата опубликования: 29.03.2019
Страница №5 из 9:
Увеличить