Официальное опубликование правовых актов
ОФИЦИАЛЬНОЕ ОПУБЛИКОВАНИЕ
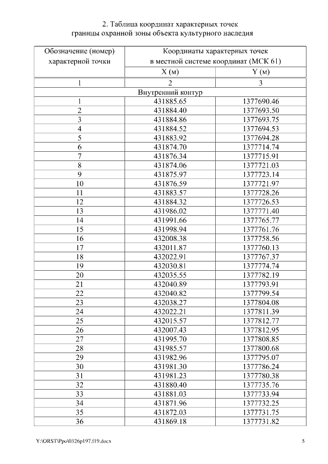
Постановление Правительства Ростовской области от 26.03.2019 № 197
"Об установлении зон охраны объекта культурного наследия регионального значения "Мемориальный памятник 1943 г. героям прорыва Миус. фронта и освобождения г. Таганрога" и утверждении требований к градостроительным регламентам в границах территорий данных зон"
Номер опубликования: 6100201903270001
Дата опубликования: 27.03.2019
Страница №5 из 8:
Увеличить