Официальное опубликование правовых актов
ОФИЦИАЛЬНОЕ ОПУБЛИКОВАНИЕ
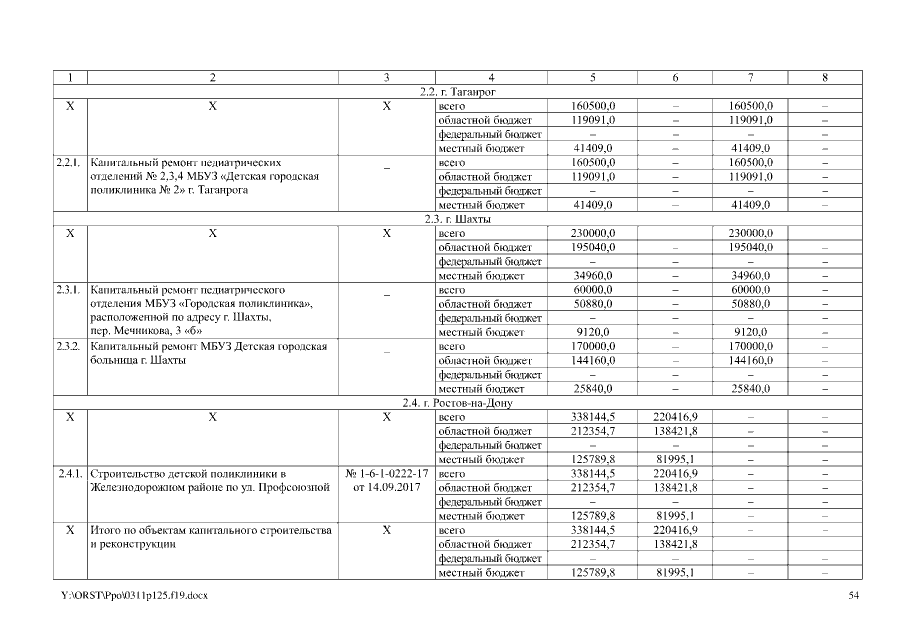
Постановление Правительства Ростовской области от 11.03.2019 № 125
"О внесении изменений в постановление Правительства Ростовской области от 17.10.2018 № 654"
Номер опубликования: 6100201903120008
Дата опубликования: 12.03.2019
Страница №54 из 71:
Увеличить