Официальное опубликование правовых актов
ОФИЦИАЛЬНОЕ ОПУБЛИКОВАНИЕ
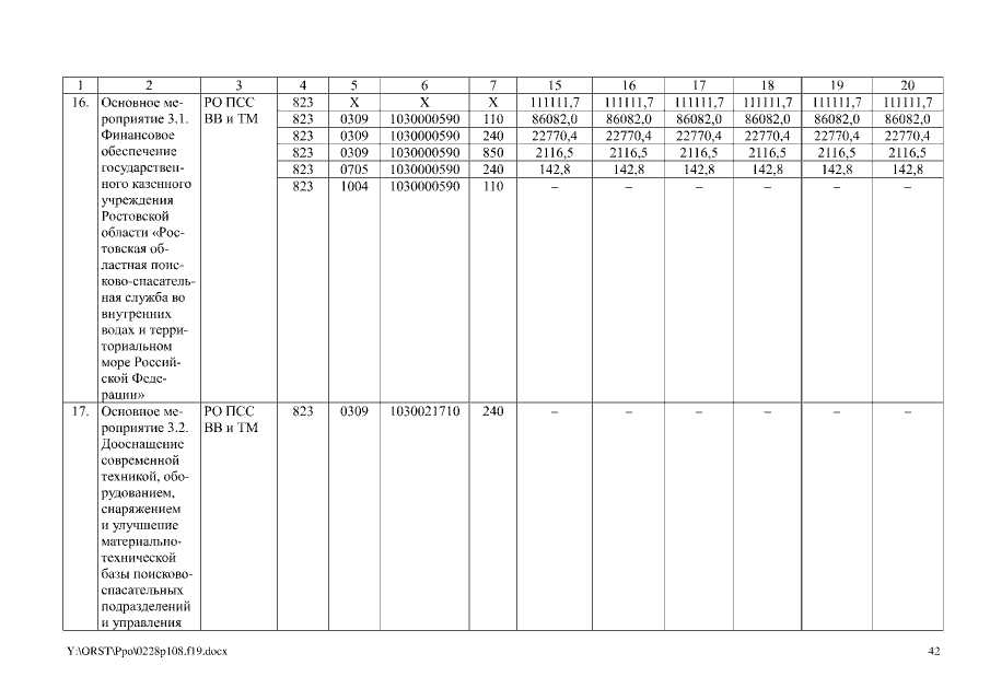
Постановление Правительства Ростовской области от 28.02.2019 № 108
"О внесении изменений в постановление Правительства Ростовской области от 17.10.2018 № 647"
Номер опубликования: 6100201903040001
Дата опубликования: 04.03.2019
Страница №42 из 66:
Увеличить