Официальное опубликование правовых актов
ОФИЦИАЛЬНОЕ ОПУБЛИКОВАНИЕ
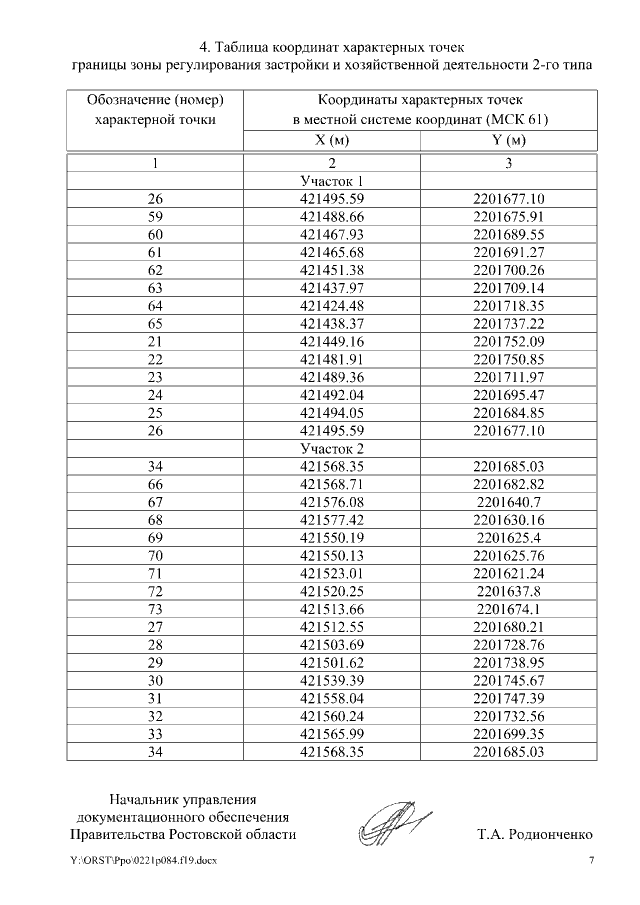
Постановление Правительства Ростовской области от 21.02.2019 № 84
"Об установлении зон охраны объекта культурного наследия регионального значения "Дворец культуры железнодорожников, 1930 г., арх. Л.Ф. Эберг, восст. в 1950-е гг." и утверждении требований к градостроительным регламентам в границах территорий данных зон"
Номер опубликования: 6100201902220002
Дата опубликования: 22.02.2019
Страница №7 из 12:
Увеличить