Официальное опубликование правовых актов
ОФИЦИАЛЬНОЕ ОПУБЛИКОВАНИЕ
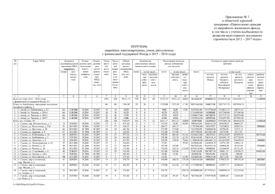
Постановление Правительства Ростовской области от 24.01.2019 № 29
"О внесении изменений в постановление Правительства Ростовской области от 18.04.2013 № 196"
Номер опубликования: 6100201901250009
Дата опубликования: 25.01.2019
Страница №40 из 107:
Увеличить