Официальное опубликование правовых актов
ОФИЦИАЛЬНОЕ ОПУБЛИКОВАНИЕ
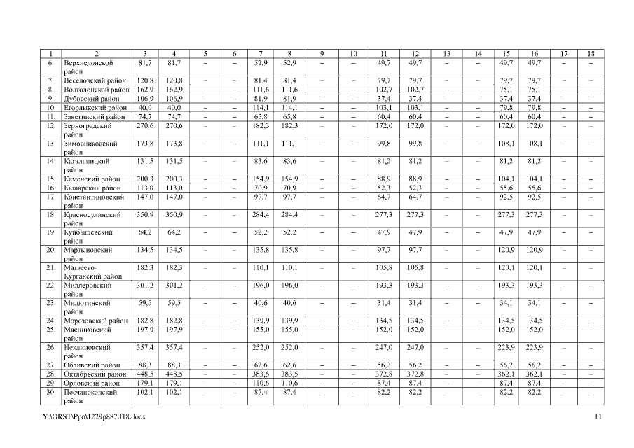
Постановление Правительства Ростовской области от 29.12.2018 № 887 "О внесении изменений в постановление Правительства Ростовской области от 25.09.2013 № 588"
Номер опубликования: 6100201901040005
Дата опубликования: 04.01.2019
Страница №11 из 25:
Увеличить