Официальное опубликование правовых актов
ОФИЦИАЛЬНОЕ ОПУБЛИКОВАНИЕ
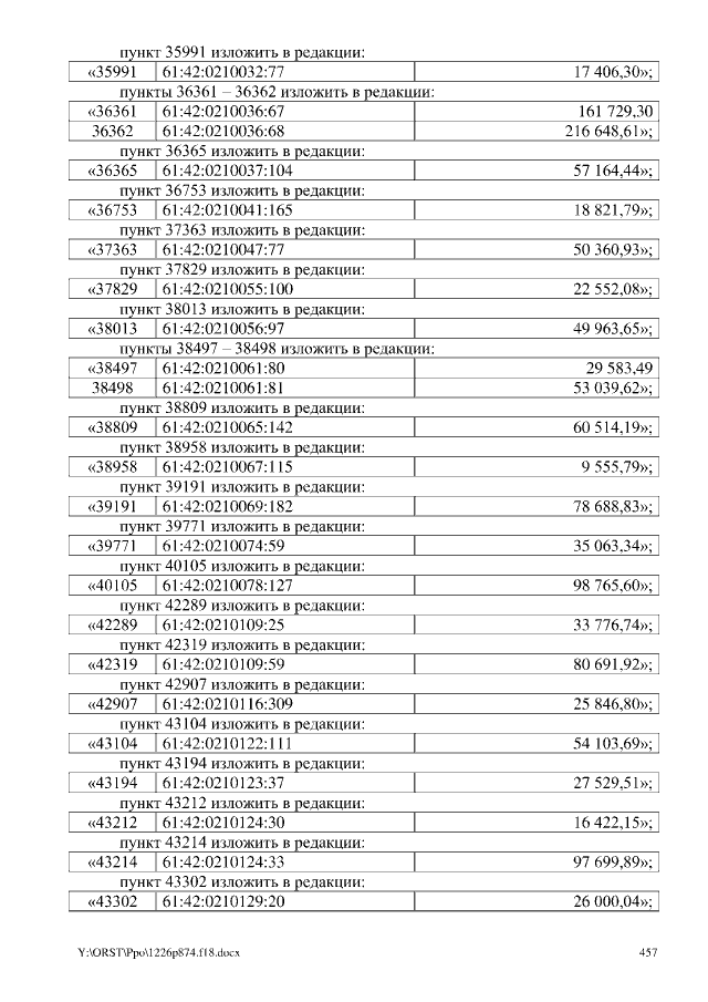
Постановление Правительства Ростовской области от 26.12.2018 № 874
"О внесении изменений в постановление Правительства Ростовской области от 27.12.2016 № 881"
Номер опубликования: 6100201812290035
Дата опубликования: 29.12.2018
Страница №457 из 463:
Увеличить