Официальное опубликование правовых актов
ОФИЦИАЛЬНОЕ ОПУБЛИКОВАНИЕ
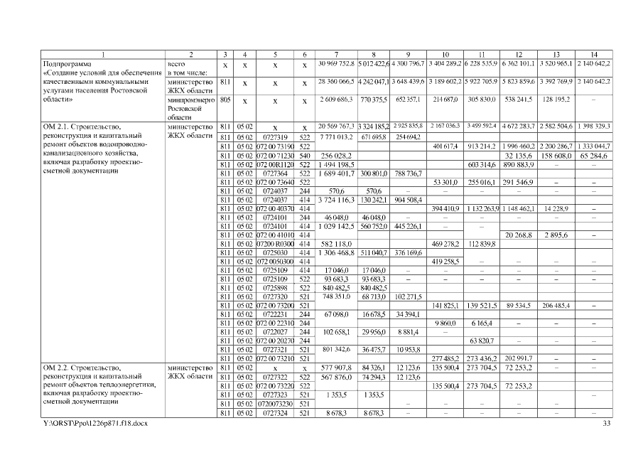
Постановление Правительства Ростовской области от 26.12.2018 № 871
"О внесении изменений в постановление Правительства Ростовской области от 25.09.2013 № 603"
Номер опубликования: 6100201812290034
Дата опубликования: 29.12.2018
Страница №33 из 173:
Увеличить