Официальное опубликование правовых актов
ОФИЦИАЛЬНОЕ ОПУБЛИКОВАНИЕ
Постановление Правительства Ростовской области от 26.12.2018 № 850
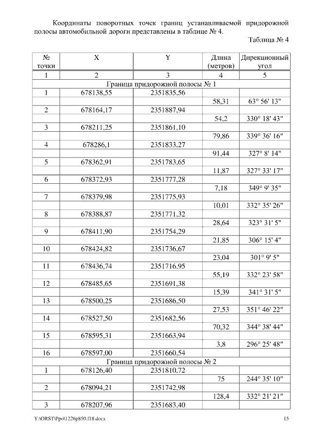
"Об утверждении проекта планировки и проекта межевания территории размещения линейного объекта "Строительство тротуаров и освещения автомобильной дороги общего пользования регионального значения г. Миллерово – ст. Вешенская на участке км 133 + 090 – км 134 + 100 в Шолоховском районе"
Номер опубликования: 6100201812290019
Дата опубликования: 29.12.2018
Страница №15 из 30:
Увеличить