Официальное опубликование правовых актов
ОФИЦИАЛЬНОЕ ОПУБЛИКОВАНИЕ
Постановление Правительства Ростовской области от 26.12.2018 № 849
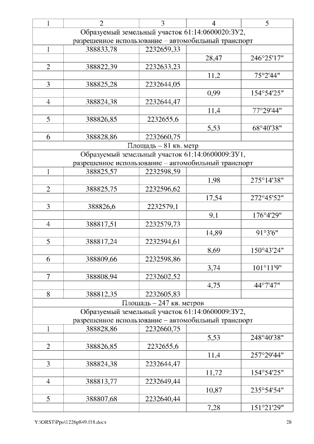
"Об утверждении проекта планировки и проекта межевания территории размещения линейного объекта "Реконструкция автомобильной дороги общего пользования регионального значения г. Ростов-на-Дону (от магистрали "Дон") – г. Ставрополь (до границы Ставропольского края) со строительством автобусной остановки на км 31 + 000 в Кагальницком районе"
Номер опубликования: 6100201812290006
Дата опубликования: 29.12.2018
Страница №28 из 40:
Увеличить