Официальное опубликование правовых актов
ОФИЦИАЛЬНОЕ ОПУБЛИКОВАНИЕ
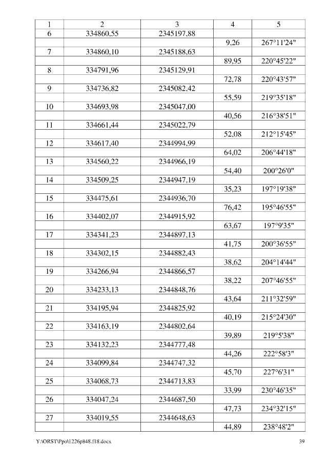
Постановление Правительства Ростовской области от 26.12.2018 № 848
"Об утверждении проекта планировки и проекта межевания территории размещения линейного объекта "Строительство автомобильной дороги общего пользования регионального значения "Обход г. Сальска" на участке Аэродром – а/д г. Сальск – г. Городовиковск (до границы Калмыкии) в Сальском районе"
Номер опубликования: 6100201812290005
Дата опубликования: 29.12.2018
Страница №39 из 123:
Увеличить