Официальное опубликование правовых актов
ОФИЦИАЛЬНОЕ ОПУБЛИКОВАНИЕ
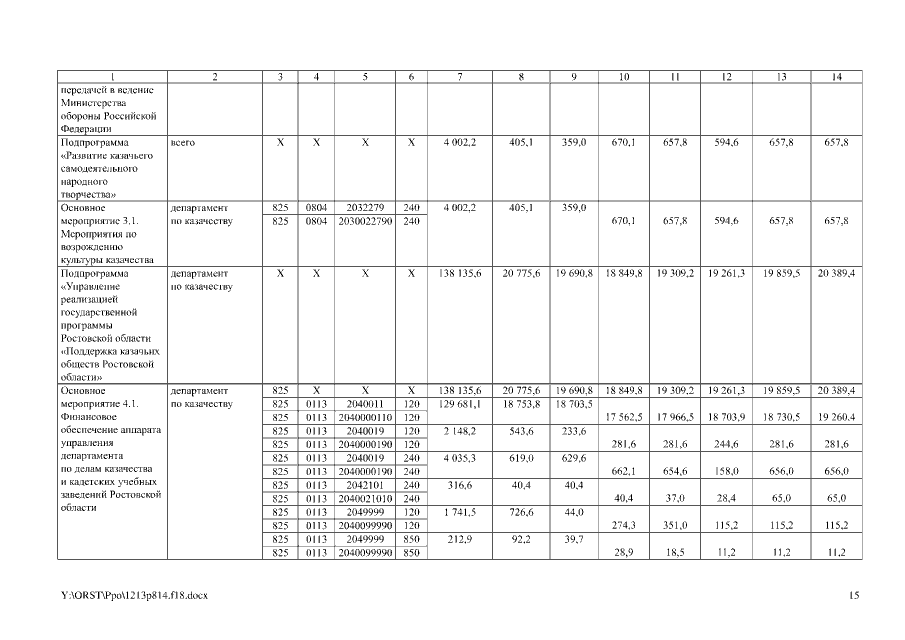
Постановление Правительства Ростовской области от 13.12.2018 № 814
"О внесении изменений в постановление Правительства Ростовской области от 25.09.2013 № 601"
Номер опубликования: 6100201812200014
Дата опубликования: 20.12.2018
Страница №15 из 18:
Увеличить