Официальное опубликование правовых актов
ОФИЦИАЛЬНОЕ ОПУБЛИКОВАНИЕ
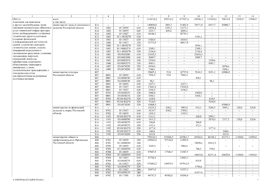
Постановление Правительства Ростовской области от 13.12.2018 № 804
"О внесении изменений в постановление Правительства Ростовской области от 25.09.2013 № 585"
Номер опубликования: 6100201812200010
Дата опубликования: 20.12.2018
Страница №7 из 62:
Увеличить