Официальное опубликование правовых актов
ОФИЦИАЛЬНОЕ ОПУБЛИКОВАНИЕ
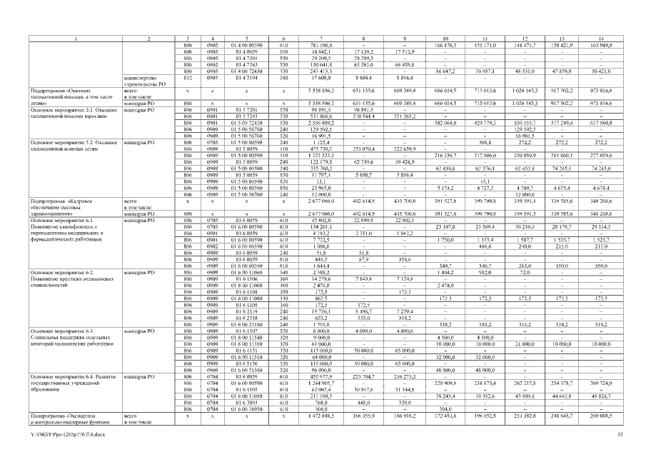
Постановление Правительства Ростовской области от 05.12.2018 № 776
"О внесении изменений в постановление Правительства Ростовской области от 25.09.2013 № 593"
Номер опубликования: 6100201812070001
Дата опубликования: 07.12.2018
Страница №33 из 43:
Увеличить