Официальное опубликование правовых актов
ОФИЦИАЛЬНОЕ ОПУБЛИКОВАНИЕ
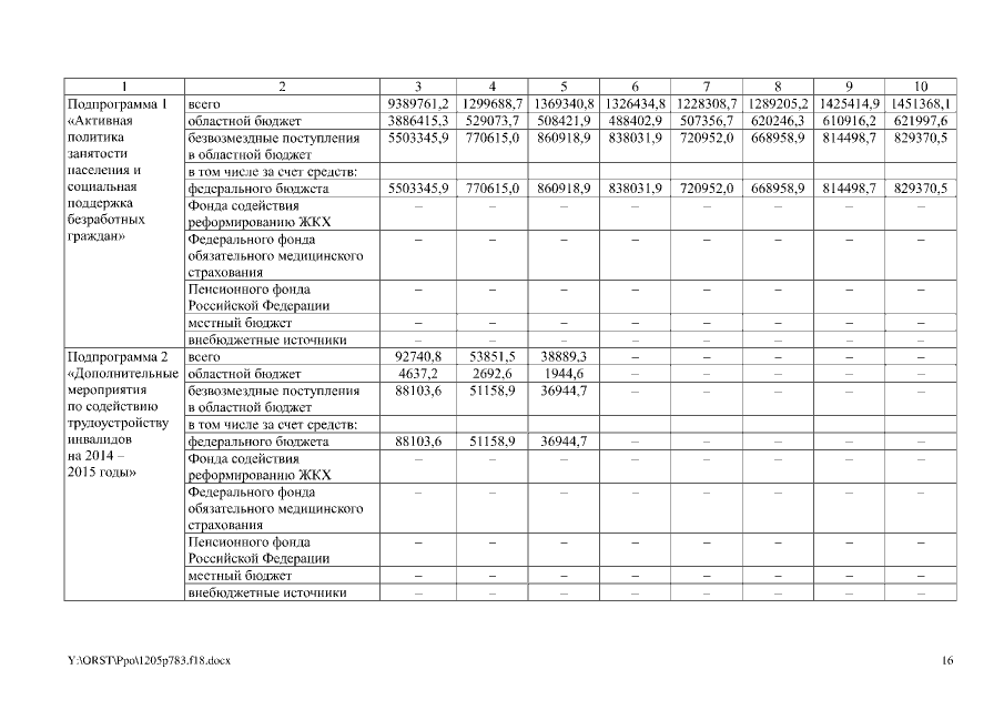
Постановление Правительства Ростовской области от 05.12.2018 № 783
"О внесении изменений в постановление Правительства Ростовской области от 25.09.2013 № 586"
Номер опубликования: 6100201812060015
Дата опубликования: 06.12.2018
Страница №16 из 17:
Увеличить