Официальное опубликование правовых актов
ОФИЦИАЛЬНОЕ ОПУБЛИКОВАНИЕ
Постановление Правительства Ростовской области от 29.11.2018 № 757
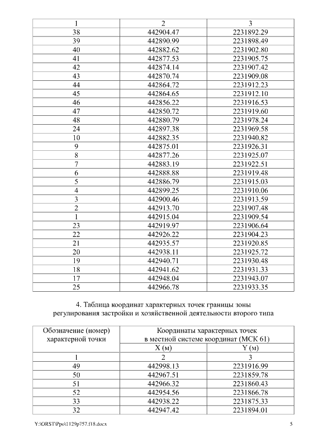
"Об установлении зон охраны объекта культурного наследия регионального значения "Кирха. Неоготический стиль" и утверждении требований к градостроительным регламентам в границах территорий данных зон"
Номер опубликования: 6100201811300009
Дата опубликования: 30.11.2018
Страница №5 из 11:
Увеличить