Официальное опубликование правовых актов
ОФИЦИАЛЬНОЕ ОПУБЛИКОВАНИЕ
Постановление Правительства Ростовской области от 26.11.2018 № 728
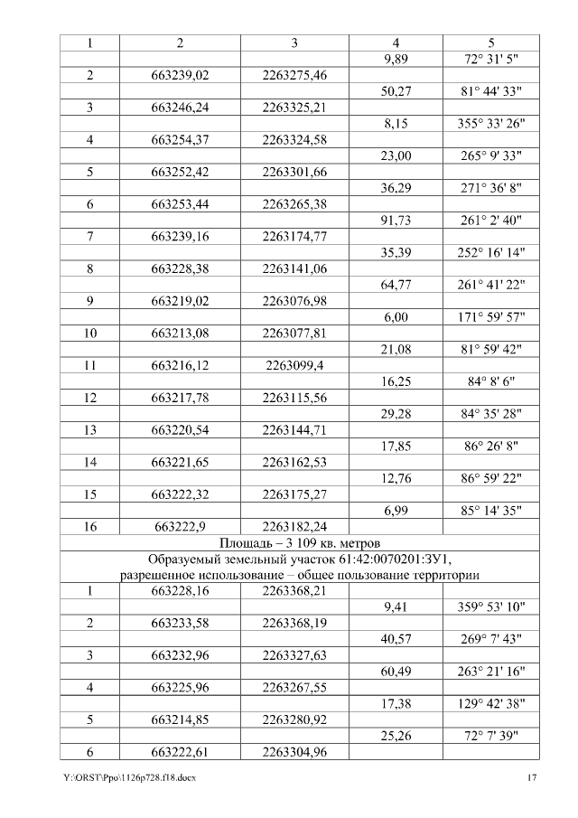
"Об утверждении проекта планировки и проекта межевания территории размещения линейного объекта "Реконструкция мостового перехода на км 8 + 467 автомобильной дороги общего пользования регионального значения "Магистраль "Дон" – пос. Чертково в Чертковском районе"
Номер опубликования: 6100201811270030
Дата опубликования: 27.11.2018
Страница №17 из 20:
Увеличить