Официальное опубликование правовых актов
ОФИЦИАЛЬНОЕ ОПУБЛИКОВАНИЕ
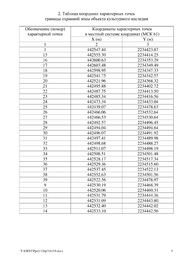
Постановление Правительства Ростовской области от 26.11.2018 № 744
"Об установлении зон охраны объекта культурного наследия регионального значения "Здание духовного училища, принадлежащее ранее генерал-майору Шушкову. Куплено в 1868 г." и утверждении требований к градостроительным регламентам в границах территорий данных зон"
Номер опубликования: 6100201811270013
Дата опубликования: 27.11.2018
Страница №5 из 12:
Увеличить