Официальное опубликование правовых актов
ОФИЦИАЛЬНОЕ ОПУБЛИКОВАНИЕ
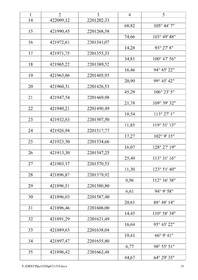
Постановление Правительства Ростовской области от 26.10.2018 № 673
"Об утверждении проекта планировки прибрежных территорий р. Темерник, расположенных в г. Ростове-на-Дону, Мясниковском и Аксайском районах Ростовской области (от истока р. Темерник, расположенного восточнее с. Большие Салы Мясниковского района, до впадения в р. Дон) (1 этап)"
Номер опубликования: 6100201810300007
Дата опубликования: 30.10.2018
Страница №31 из 827:
Увеличить