Официальное опубликование правовых актов
ОФИЦИАЛЬНОЕ ОПУБЛИКОВАНИЕ
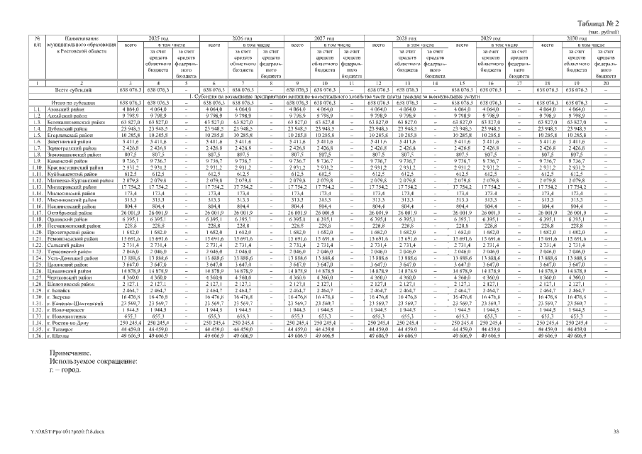
Постановление Правительства Ростовской области от 17.10.2018 № 650
"Об утверждении государственной программы Ростовской области "Обеспечение качественными жилищно-коммунальными услугами населения Ростовской области"
Номер опубликования: 6100201810190013
Дата опубликования: 19.10.2018
Страница №38 из 59:
Увеличить