Официальное опубликование правовых актов
ОФИЦИАЛЬНОЕ ОПУБЛИКОВАНИЕ
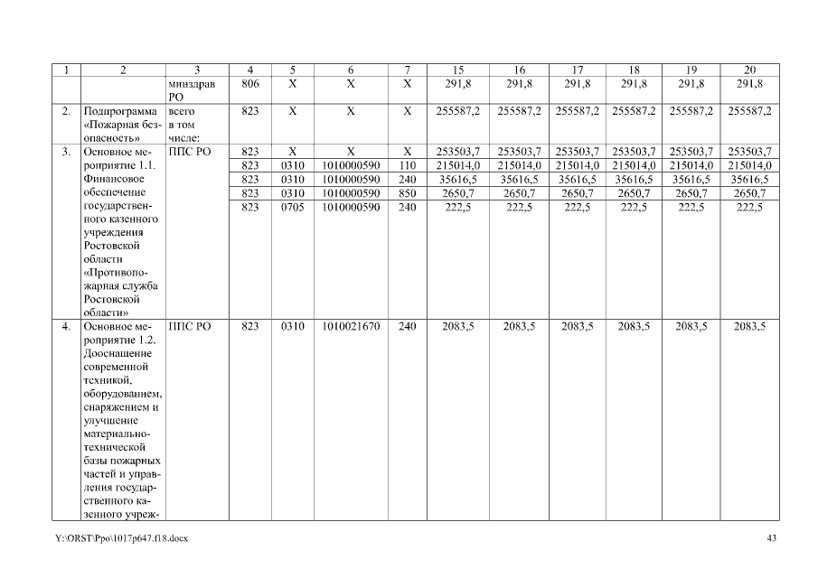
Постановление Правительства Ростовской области от 17.10.2018 № 647
"Об утверждении государственной программы Ростовской области "Защита населения и территории от чрезвычайных ситуаций, обеспечение пожарной безопасности и безопасности людей на водных объектах"
Номер опубликования: 6100201810190010
Дата опубликования: 19.10.2018
Страница №43 из 73:
Увеличить