Официальное опубликование правовых актов
ОФИЦИАЛЬНОЕ ОПУБЛИКОВАНИЕ
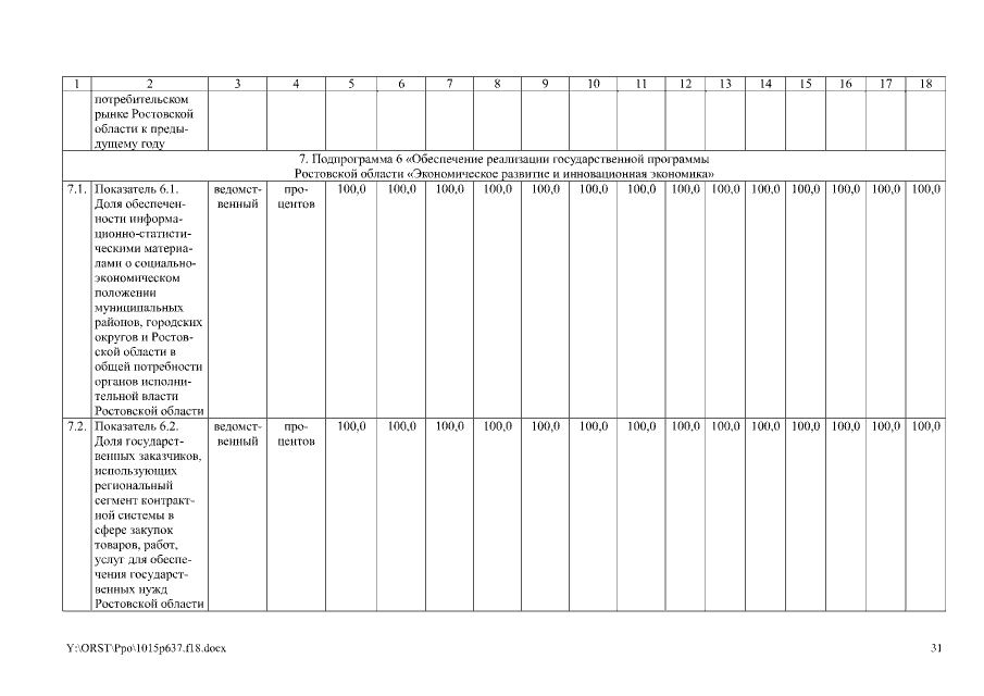
Постановление Правительства Ростовской области от 15.10.2018 № 637
"Об утверждении государственной программы Ростовской области "Экономическое развитие и инновационная экономика"
Номер опубликования: 6100201810160001
Дата опубликования: 16.10.2018
Страница №31 из 76:
Увеличить